【Python数据分析案例(2024)】(46)——基于SSA-LSTM的风速预测(麻雀优化)
在这个案例里面的,SSA-LSTM效果好于GRU好于LSTM和attention-LSTM,说明优化算的效果是可以的,当然同学们还有时间可以用SSA-GRU,SSA-attention-LSTM都去试试,,看谁的效果好。模型修改就该bu...
【Python数据分析案例(2024)】(43)——基于机器学习的垃圾邮件分类系统构建(朴素贝叶斯,支持向量机)云图
trec06c是非常经典的邮件分类的数据,还是难能可贵的中文数据集。 这个数据集从一堆txt压缩包里面提取出来整理为excel文件还真不容不易,肯定要做一下文本分类。 虽然现在文本分类基本都是深度...
【Python数据分析案例(2024)】(44)——基于EEMD-LSTM的石油价格预测神经网络模型
很久没更新时间序列预测有关的东西了。 之前写了很多CNN-LSTM,GRU-attention,这种神经网络之内的不同模型的缝合,现在写一个模态分解算法和神经网络的缝合。 虽然eemd-lstm已经在学术界被做烂...
【Python数据分析案例(2024)】(45)——基于K均值的客户聚类分析可视化K-Means
可视化结果详细比较了男性和女性的年龄、年收入和支出分数分布。它强调,虽然两种性别有一些相似之处,但这些变量的集中度和分散度存在显著差异。男性在年龄和收入方面的分布往往更广泛,而女性...
【Python数据分析案例(2024)】(47)——基于学校学历、岗位技能的工资区间预测(机器学习全模型)
总体而言,这个区间还是挺可以进行参考的,虽然它的范围有点大,但是基本上真实的数值还是能够落入这个区间的。应届生的同学可以用这个程序,输入自己的真实情况以及自己想干的岗位和一些自己的...
【Python数据风险案例(2024)】(48)——人工智能热门概念股爬虫分析其价值(三因子模型)
综上所述,如果是在寻找高风险高回报的股票,可能会考虑昆仑万维或中科信息,因为它们具有较高的阿尔法值和实际总收益率。如果更注重稳定性和低风险,柯力传感可能是一个更好的选择,因为其最大...
【Python数据分析案例(2025)】28——宏观经济指标与沪深指数实证研究分析
本文以沪深300指数为例,探讨了宏观经济指标与股市表现的关联性。通过文献梳理确定了关键影响因素,并选取2015-2024年的数据进行实证分析。研究采用多元回归方法,考察了利率(LPR)、经济增长...
【Python数据分析案例(2025)】02——信贷风控模型预测评估及其可解释性(shap, scorecardpy包应用)
【Python数据分析案例(2025)】02——信贷风控模型预测评估及其可解释性(shap, scorecardpy包应用)
【Python数据分析案例(2024)】50——灰色预测、指数平滑预测人口数量,死亡率,出生率等
网盘截屏支付后获取全部源码和数据,如有疑问请联系我们QQ客服:1919588043(微信同号)。优先QQ。案例背景时间序列的预测现在都是用神经网络,但是对于100条以内的小数据集,神经网络,机器学...
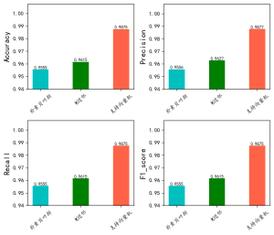
【Python数据分析案例(2025)】01—基于XGboots与支持向量机等多模型对比下的营销数据对用户购买行为的影响
在当今竞争激烈的市场环境中,了解客户行为和优化营销策略对企业的成功至关重要。为此,本项目的核心目标是通过对客户营销数据的分析,深入洞察影响客户购买行为的关键因素,从而提升营销活动的...



















