【Python数据分析案例(2025)】07——智能车价预测系统的构建与应用
网盘截屏案例背景好久没做这种机器学习全流程的案例了,毕竟我是靠这个起家的,最近重温一下吧。很多新手或者是刚入门的同学可以凭借这个案例学一下机器学习。本次案例是一个价格预测,它是一个...
【Python数据分析案例(2025)】10——基于深度学习的音频文件分类(音频文件特征提取和模型构建)深度学习戏剧音频特征提取
每个文件夹里面都有100首MP3歌曲文件。我们就取:“京剧 越剧 黄梅戏 秦腔 豫剧 评剧 ”6个文件夹里面的歌曲吧。 我们要做的就是对这个600首歌曲提取特征,然后进行神经网络的模型训练和分类评...
【Python数据分析案例(2024)】50——灰色预测、指数平滑预测人口数量,死亡率,出生率等
网盘截屏支付后获取全部源码和数据,如有疑问请联系我们QQ客服:1919588043(微信同号)。优先QQ。案例背景时间序列的预测现在都是用神经网络,但是对于100条以内的小数据集,神经网络,机器学...
【Python数据分析案例(2025)】26——数据驱动的营销优化(模型预测购买行为)markting
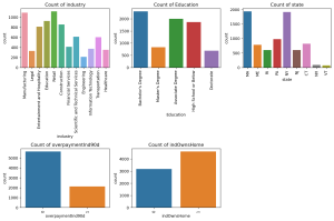
在当今竞争激烈的市场环境中,了解客户行为和优化营销策略对企业的成功至关重要。为此,本项目的核心目标是通过对客户营销数据的分析,深入洞察影响客户购买行为的关键因素,从而提升营销活动的...
【Python数据分析案例(2025)】04——基于图神经网络的反欺诈交易检测(GCN,GAT,GIN)Anti fraud transaction detection based on graph neural network
【Python数据分析案例(2025)】04——基于图神经网络的反欺诈交易检测(GCN,GAT,GIN)
【Python数据分析案例(2025)】01—基于XGboots与支持向量机等多模型对比下的营销数据对用户购买行为的影响
在当今竞争激烈的市场环境中,了解客户行为和优化营销策略对企业的成功至关重要。为此,本项目的核心目标是通过对客户营销数据的分析,深入洞察影响客户购买行为的关键因素,从而提升营销活动的...
【Python数据分析案例(2025)】03——热门游戏数据分析及其可视化
网盘截屏获取代码与数据,请点击购买!案例背景有哪个男生不喜欢玩游戏呢?就算上了班儿也要研究一下游戏以及热门的游戏。正好这里有个热门的游戏数据集,全球热门游戏数据集来做一下一些可视化...
【Python数据分析案例(2025)】15——基于十种模型的信用违约预测实战贷款有风险,违约有责任!
好久没写这种基础的做机器学习流程了,最近过完年感觉自己代码忘了好多.....复习一下。 本次带来的是信贷违约的预测,即根据这个人的特征(年龄收入什么的),预测他是不是会违约,会违约就拒绝...
【Python数据分析案例(2025)】25——KYC客户风险等级评分模型
KYC风险评分中的风险倾向降低。这种关系可能反映出年龄增长与财务稳定性之间的关联,通常而言,较年长的个体可能具有更稳定的收入来源和更保守的财务行为。整体来看,这些相关分析结果强调了在...


















